欢迎访问beat365官方网站!
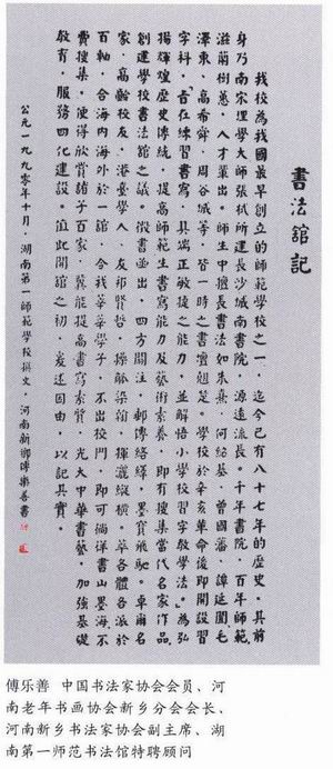
傅乐善
戴明贤
金砚石
王少墨
陈沛华
吴忠根
车应龙
王明昕
杨向阳
版权所有©beat365|官方网站 地 址:长沙市岳麓区枫林三路1015号 邮 编:410205 湘ICP备05000548号 湘教QS1-200505-000191 管理:宣传部 电子邮箱:xcb@hnfnu.edu.cn